BACKGROUND

aGVHD, a common complication of allogeneic stem cell transplant (alloSCT), is driven by proinflammatory cytokines and chemokines that activate the immune system, resulting in end-organ damage. Steroids are first-line treatment but up to 50% of pts are steroid refractory (SR), resulting in high mortality and morbidity.

RUX, a JAK1/JAK2 inhibitor, inhibits cytokine-dependent activation of the JAK-STAT pathway and cell proliferation and differentiation, which prevents worsening of aGVHD and allows recovery. JAK pathway inhibition by RUX may also lead to modulation of proinflammatory cytokines and prognostic GVHD biomarkers.

The phase 3 randomized REACH2 trial (NCT02913261) in SR aGVHD demonstrated superiority of RUX vs BAT, with a significantly higher overall response rate (ORR; complete [CR] + partial response [PR]) at D28 (62% vs 39%; P < .001) and higher durable ORR at D56 (40% vs 22%; P < .001) (Zeiser R, et al. N Engl J Med. 2020).

In this exploratory analysis of REACH2, we assessed whether baseline (BL) levels of proinflammatory cytokines and GVHD markers were prognostic for response and how this changed over time related to treatment.

METHODS

Pts (N = 309; ≥ 12 y old with grade II-IV SR aGVHD after alloSCT) were randomized 1:1 to RUX (starting at 10 mg bid) or investigator-selected BAT and stratified by aGVHD grade; 295 pts had valid biomarker levels.

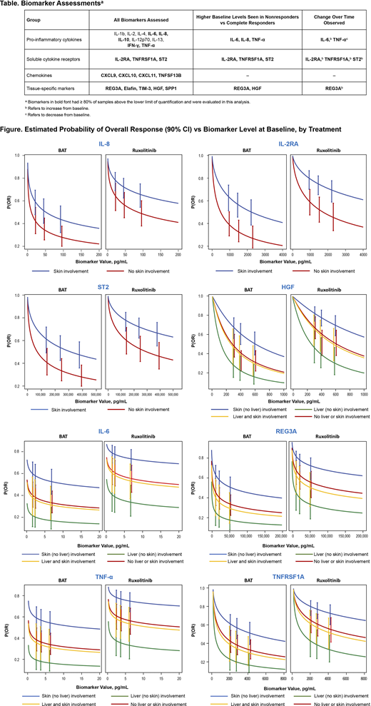
Serum samples were collected at BL, D14, and D28 and biomarkers, including inflammatory cytokines, soluble receptors of cytokines, chemokines, and tissue-specific markers for gastrointestinal (GI), liver, and skin GVHD, were assessed (Table).

Biomarker levels at BL were stratified by response (CR, PR, none [NR]) at D28 for each treatment arm; those that differed by response were analyzed by logistic regression (LR) to assess the association (CR+PR vs NR), adjusting for treatment. The analysis was repeated, adjusting for key covariates that had significant impact on the biomarker-response relationship.

Change in biomarkers over time (BL to D28) was assessed via geometric mean values at each visit, along with fold change from BL for each treatment arm.

RESULTS

Of 22 GVHD biomarkers assessed, 17 (77%) were evaluable (Table). Higher median BL levels of proinflammatory cytokines (IL-6, IL-8, TNF-α), soluble cytokine receptors (IL2RA, TNFRSF1A, ST2) and tissue-specific GVHD markers (REG3A, HGF) were generally observed in NR vs CR pts (Table) and were further analyzed.

Higher BL levels of these markers were significantly associated with a lower probability of OR (P[OR]) in the LR analysis (Figure). An interaction term was investigated to assess whether there was a differing biomarker effect within treatment groups; however, this was insignificant and not retained. The addition of skin involvement to the LR for all biomarkers had an impact on P(OR), with increased P(OR) for pts with skin involvement at BL. Liver involvement at BL was added to the LR for HGF, IL6, REG3A, TNFα, and TNFRSF1A. The LR models showed a significant decrease in P(OR) for pts with liver involvement at BL. GI involvement did not have a significant impact for any biomarker.

Geometric mean levels of TNFα, TNFRSF1A, IL2RA, REG3A, and ST2 decreased from BL to D14 in CR pts in the RUX arm but increased with BAT. NR pts had increases in these biomarkers regardless of treatment; however, longer follow-up is needed. Treatment had an underlying impact on P(OR) but no further impact on the effect of biomarkers on P(OR). Maximum change from BL was observed at D14; a slight return to BL levels was observed at D28 in CR pts. Surprisingly, IL6 levels increased with RUX regardless of response. IL6, like TNFα, is directly modulated by the JAK-STAT pathway and was therefore expected to decrease with RUX.

CONCLUSIONS

This is the first biomarker study in a phase 3 trial in GVHD. BL levels of IL6, IL8, TNFα, IL2RA, TNFRSF1A, ST2, REG3A, and HGF tended to be higher in NR vs CR pts; higher levels were associated with lower P(OR) when adjusted for treatment arm. Skin and liver involvement also had an impact on response. Skin involvement was associated with higher P(OR), regardless of biomarker BL levels, possibly because no skin involvement implied other organ involvement and tended to be associated with a higher overall severity grade at BL. CR pts in the RUX group had lower BL levels of TNFα and showed trends toward decreases from BL to D14 in the soluble cytokine receptors ST2, TNFRSF1A, and IL2RA and tissue-specific marker REG3A.

Disclosures

Socié:Elsalys: Honoraria; Alexion: Consultancy, Honoraria, Research Funding; Novartis: Membership on an entity's Board of Directors or advisory committees, Speakers Bureau; Incyte: Speakers Bureau. Niederwieser:Amgen: Speakers Bureau; Daiichi: Research Funding; Novartis: Speakers Bureau; Cellectis: Membership on an entity's Board of Directors or advisory committees. Von Bubnoff:Novartis: Membership on an entity's Board of Directors or advisory committees, Other: Clinical biomarker research, steering committee, Patents & Royalties: Research support, Research Funding; Astra Zeneca: Honoraria, Other: Lectures, Patents & Royalties: Astra Zeneca. Mohty:BMS: Consultancy, Honoraria, Research Funding, Speakers Bureau; Sanofi: Consultancy, Honoraria, Research Funding, Speakers Bureau; Celgene: Consultancy, Honoraria, Research Funding, Speakers Bureau; Novartis: Consultancy, Honoraria, Research Funding, Speakers Bureau; GSK: Consultancy, Honoraria, Research Funding, Speakers Bureau; Stemline: Consultancy, Honoraria, Research Funding, Speakers Bureau; Jazz Pharmaceuticals: Consultancy, Honoraria, Research Funding, Speakers Bureau; Amgen: Consultancy, Honoraria, Research Funding, Speakers Bureau; Janssen: Consultancy, Honoraria, Research Funding, Speakers Bureau; Takeda: Consultancy, Honoraria, Research Funding, Speakers Bureau. Szer:Alexion Pharmaceuticals Inc.: Consultancy, Honoraria, Membership on an entity's Board of Directors or advisory committees, Speakers Bureau; Novartis: Consultancy, Honoraria, Speakers Bureau; Apellis: Consultancy; Pfizer: Honoraria, Speakers Bureau; Takeda: Honoraria, Speakers Bureau; Prevail Therapeutics: Honoraria, Membership on an entity's Board of Directors or advisory committees. Or:Hadassah Hebrew University Medical Center: Consultancy, Current Employment. Wagner:Novartis: Membership on an entity's Board of Directors or advisory committees; Kite/Gilead: Membership on an entity's Board of Directors or advisory committees; MSD: Membership on an entity's Board of Directors or advisory committees; Medac: Other: Travel grand; Shire: Other: Travel grand. Forcade:JAZZ: Other: Travel grant for congress; NEOVII: Other: Travel grant for congress; Gilead: Speakers Bureau; Sanofi: Other: Travel grant for congress; Novartis: Other: Travel grant for congress. Civriz Bozdag:Novartis: Research Funding. Chaturvedi:Novartis: Current Employment. Wilke:Novartis Pharma AG: Current Employment, Other: Stock owner. Zeiser:Novartis: Honoraria; Incyte: Honoraria; Malinckrodt: Honoraria.

Author notes

*

Asterisk with author names denotes non-ASH members.

Sign in via your Institution